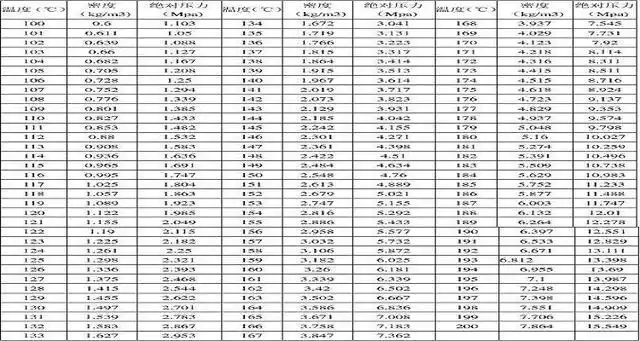
玉石密度对照表
玉石的密度是多少各种玉石的密度表
求一份宝石相对密度表
玉石密度.jpg
各种玉石的密度是多少
密度仪|鉴定玉石神器|如何鉴定翡翠?万物密度仪
珠宝玉石和田玉的密度表 翻出来了很久之前的学习资料.
主要宝玉石参数
玉石硬度对照表
珠宝玉石专业知识精品系列连载3
150种宝石密度表,莫氏硬度表
爱自己艺术字
天津美术学院社会艺术水平考级
白鹿的个人资料
唯美的太空星云高清宽屏桌面壁纸高清大图预览1920x1080_高清壁纸下载
文森特·梵高 | 巴黎时期作品欣赏_世界名画鉴赏
开心熊猫头图片_开心熊猫头动态图_开心熊猫头表情包gif动图下载_soo
葫芦娃爷爷头像
关悦1979年3月6日出生于吉林演员影视出品人毕业于北京电影学院
军人的本色歌词(军人的本色歌曲简介)
轮毂宽度(j值)是指轮毂两侧凸缘之间的距离.例如轮毂中的"7.
中国画荷花收藏! - 抖音
夏洛特烦恼大春,张扬的对位面,我们该学他的返璞归真