社科 哲学/历史 中国古代玉器(一)ppt 中国传统玉石和常见宝石硬度表
玉石的密度是多少各种玉石的密度表
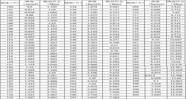
一张图认识常见宝玉石密度参考表(建议收藏) 78157815密度是
密度仪|鉴定玉石神器|如何鉴定翡翠?万物密度仪
各种玉石的密度是多少
密度指单位体积的质量
和田玉之正解硬度与密度
各种玉石的密度表大全:图片,图表一览
珠宝玉石和田玉的密度表 翻出来了很久之前的学习资料.
怎样自测玉石密度判断真伪?
珠宝玉石专业知识精品系列连载3
得意表情包
朱一龙背影合集来自朱小室
(三)矩阵式组织结构
动漫头像 动漫女头 古风
三位一体的结.凯尔特人永恒的象征.矢量图照片
霸气女生头像超拽黑白清晰在终点一直等着你
暖暖环游世界 少女 小清新 插画 搭配 服装 设计 古风 冥婚 嫁衣 婚纱
绘画宝藏干货|关于色彩理论的10个知识
伊崽们快来玩呀~97宠崽时间:关注@伊利,带话题#过幸运"星"
司机金德强事件,你永远不知道压倒他的最后一根稻草有多轻
pe截止阀20至110pe闸阀pe铜杆铜芯截止阀hdpe水管阀门110
首个安乐死过山车坐上去只需转3分钟回来就已安然离世