头孢曲松钠-杂质a结构式图片
注射用头孢曲松钠说明书
本发明发现了一种新的头孢曲松钠光降解产物,该降解产物结构首次报道
注射用头孢曲松钠
每天学西药头孢曲松钠
常用名头孢曲松钠cas号74578-69-1价格$需询单/100mg$需询单/250mg$需
头孢曲松钠 104376-79-6 ≥98% 5g
头孢曲松
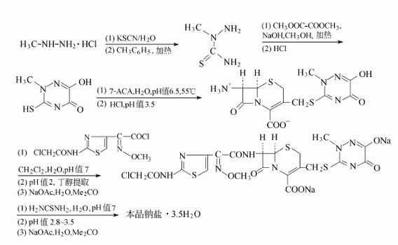
头孢曲松钠3.5水(化学分子)
头孢曲松|ceftriaxone|cas:73384-59-5|西域试剂
头孢曲松钠欧洲药典6.0版
头孢曲松结构式
最火的20款日系短发
十二星座最炫酷的异次元翅膀巨蟹座的帅气天蝎座的超好看
碎花连衣裙女装夏季2021新款今年流行气质小个子假两件套裙子 - 17网
大臂关公 手稿分享.#纹身手稿 #tattoo #关公 - 抖音
凡人修仙传-南宫婉 少年不凡
篮球壁纸中国长城姚明高清大图
四川简阳大耳朵羊
专访| 广东男篮后卫徐杰:个子小就要更加快,准,稳|徐杰|篮球|后卫
小青
故事:5gb的陈冠希张柏芝照片,毁了一个电脑维修员:很无奈
手绘颗粒玉米
文殊菩萨08