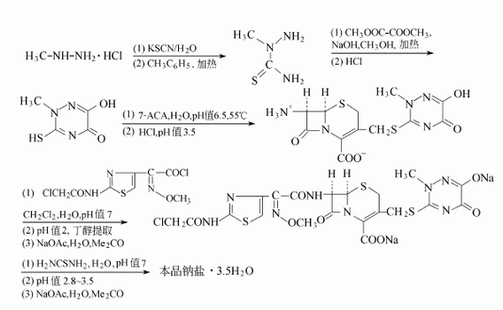
头孢曲松钠 104376-79-6 ≥98% 5g
头孢曲松钠3.5水(化学分子)
注射用头孢曲松钠
头孢曲松
注射用头孢曲松钠说明书
每天学西药头孢曲松钠
头孢曲松|ceftriaxone|cas:73384-59-5|西域试剂
头孢曲松|ceftriaxone|73384-59-5|参数,分子结构式,图谱信息 - 物竞
头孢曲松钠-杂质a结构式图片
执业西药师结构之头孢曲松
5# 猫耳·gj·sundayneko(施工完毕)
太失败,立规矩秒被闺蜜打脸,被秦海璐当众喂狗粮_妻子_节目_蒋勤勤
其它 夹江第一温暖户外社群 群友生活照(二相册) 写美篇我是山野人家
如果一个男生的手好看那他一定是个帅哥你是手控吗
六臂玛哈嘎拉唐卡挂画藏式烫金镀金客厅玄关现代装饰画
阳光下有一个翩翩少年抱着吉他眼光温柔
12月24日,有人造谣内涵任嘉伦在妻子聂欢孕期出轨,两人已经离婚两年
减肥励志文字高清手机壁纸
零食的简笔画零食的简笔画甜品
虫儿飞童声二声部合唱简谱
男生修身束脚工装裤
五套人民币50元纸币