醉赤壁c调拇指琴简谱
林俊杰醉赤壁简谱曲谱歌谱谱子
醉赤壁林俊杰演唱歌曲
醉赤壁林俊杰指法编配
醉赤壁林俊杰初级入门版
醉赤壁林俊杰降a调流行钢琴简谱
醉赤壁#钢琴简谱 #林俊杰#钢琴教学 #简单版#确认过眼神
醉赤壁简谱
《醉赤壁(笛子主旋律简谱)》原创笛箫曲谱,方文山作词 林俊杰作曲
林俊杰醉赤壁钢琴简谱78
醉赤壁智能简谱演唱林俊杰
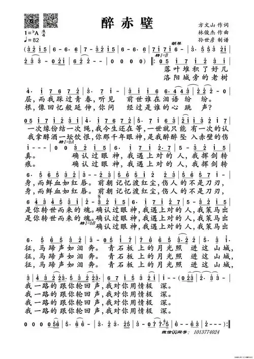
醉赤壁 谱友园地作词:方文山.作曲:林俊杰.来源:孙世彦制谱.
2021最好看的动漫女生头像 动漫头像图片大全 -【爱个性】
【图】贱鸭子动态qq表情包 萌萌哒的小鸭子表情包2022_可爱表情-说说
雪绒花简谱
三明治
回顾演员于和伟我这辈子正确的决定就是与平凡妻子厮守终生
素描图片素描图片临摹大全
至尊宝简笔画图片 至尊宝怎么画
漂亮的重瓣软粉色郁金香,重瓣雪莉
大韩航空空姐李欣儿
他用数字艺术,制作3d雕塑,结果让人眼前一亮|3d|雕塑|数字_新浪新闻
蔡少芬说:臣妾做不到啊!
华晨宇笑起来太好看了