醉赤壁林俊杰演唱歌曲
醉赤壁智能简谱演唱林俊杰
林俊杰醉赤壁钢琴简谱78
醉赤壁林俊杰指法编配
《醉赤壁(笛子主旋律简谱)》原创笛箫曲谱,方文山作词 林俊杰作曲
醉赤壁#钢琴简谱 #林俊杰#钢琴教学 #简单版#确认过眼神
林俊杰醉赤壁简谱曲谱歌谱谱子
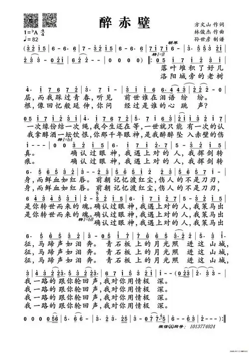
醉赤壁简谱
醉赤壁c调拇指琴简谱
醉赤壁_简谱
醉赤壁林俊杰降a调流行钢琴简谱
蜜蜂图片素材
李现绯闻越演越烈女方晒止吐神器疑似怀孕粉丝要求工作室发声
跟着杨紫选婚纱照一百万个值得
龟头痒小疙瘩龟头炎怎么治疗当心龟头炎带
石头手工
迪士尼公主经典故事:睡美人(爱藏本)
英朗gt讲解——教您熟练驾驭别克英朗gt!
新货然松香特级松脂马尾松树脂松脂 松香250克【图片 价格 品牌 报价
表白爱心棒棒糖星空手工糖创意波板糖喜糖儿童小零食男女友礼物 表白
流星花园
知乎_– 气泡说说
培育了七年的小叶紫檀在春节开花了96