时代少年团—马嘉祺神图
高清做自己的骑士 永不转弯@时代少年团队长-马嘉祺#今日星拍放#
马嘉祺神图 阿祺,等思念攒够了就见一面吧
马嘉祺叁重楼暨出道四周年演唱会
马嘉祺神图90 也不知道从什么时候开始,看到马嘉祺就走不动道,可能
马嘉祺叁重楼暨出道四周年演唱会##马嘉祺 廿一幕启循光赴盛景##饺照
时代少年团马嘉祺出圈神图有
马嘉祺神图第十四弹 tnt时代少年团 神图 马嘉祺神图 马嘉祺 马嘉祺
一人一张明星氛围感神图##马嘉祺我们的歌
马嘉祺西装造型随拍
马嘉祺理想之途演唱会
【图】郭峰图片合集 出身音乐世家14岁开始创作
详说解放军"15式"臂章,军人单位,身份,勤务的标志!
[特殊身份/终极解码][dvd-rmvb/粤语中英双字]
粉红色的爱的心,闪耀,浪漫 4k
格桑花开
萌探探探案 剪辑
叠元宝 #一起做手工 拜天公准备 - 抖音
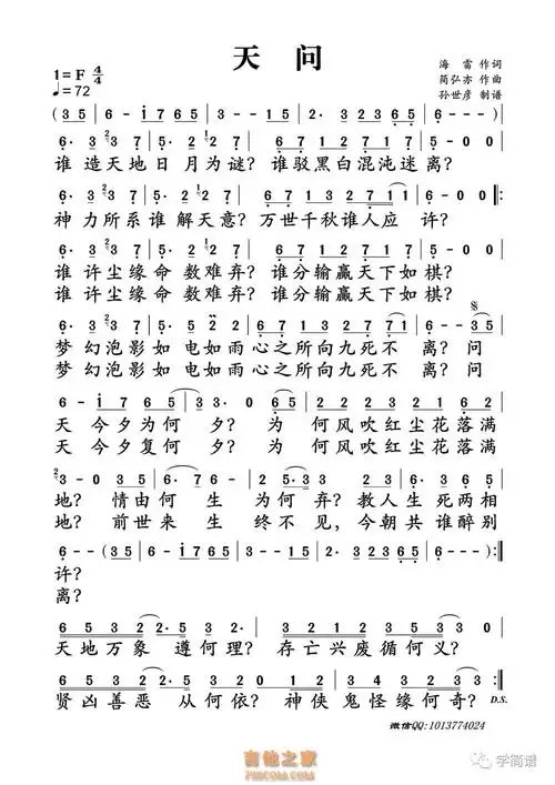
天问简谱
卡通彩色圆柱体png
布』幼儿园环创手工制作幼儿园民间游戏环创_幼儿园_游戏_剪刀石头布
ppt素雅背景大全
空条承太郎是日本漫画和动画作品《jojo的奇妙冒险》中的主要角色之一