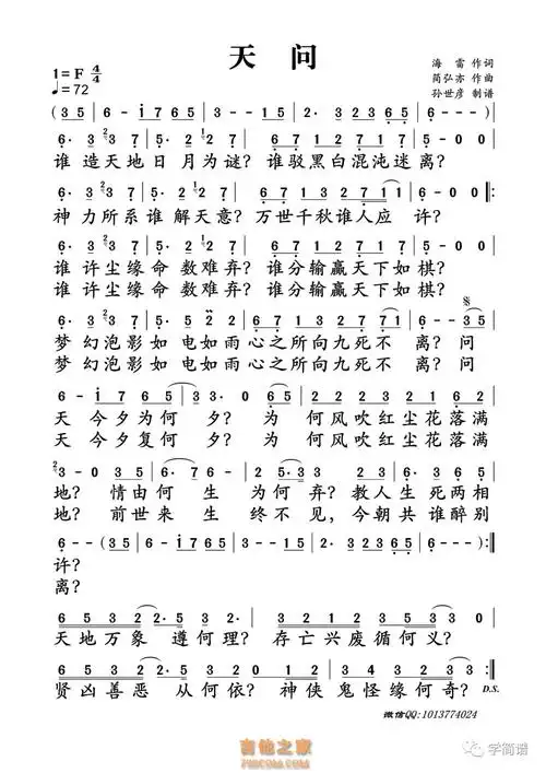
山河令主题曲天问简谱
天问简谱-简弘亦演唱-海雷/简弘亦词曲1
【天问简谱】天问简谱
天问云の泣简谱
天问_歌谱简谱_哆来咪123曲谱网
天问_简谱_搜谱网
《天问》广场舞曲 歌词歌谱-明明简谱网
天问 歌谱 简谱
摩登兄弟刘宇宁天问视听简谱山河令主题曲
天问简谱
天问简谱-简弘亦演唱-电视剧《思美人》插曲2
很有意义的4张情侣手臂纹身图案手臂纹身4
古风仙气可爱动漫女生头像|承认普通又不等于放弃
【gif-动图】— 动态背景图片(闪光素材-1)
维密天使stella maxwell戛纳红毯秀长腿,拥有小k的美女子
三年级日记一则2018年11月14日 星期三 晴
【张雪迎|折枝花满衣】古装的她真的太惊艳了,古装小美人舔屏向
oculus ceo谈消费者版本oculus rift:很快将至
暴漫 熊猫人 说话啊你 咸鱼 斗图
金龟子折纸
在困难和容易之间它选择容易;它犯了错,却借由别人也会犯错来宽慰自己
广西桂林旅游城市宣传ppt
52岁古天乐与42岁谢霆锋自然老去和医美老去的差距一目了然