相关图片
随机推荐
201120-27福建霞浦浙江温州八天游(六)浙江温州楠溪江竹筏漂流;石桅岩
吕良伟大背头造型一秒魂穿丁力时隔四十年再战上海滩
简约 三居 旧房改造 80后 小资 收纳 白领 别墅 卧室图片来自北京老房
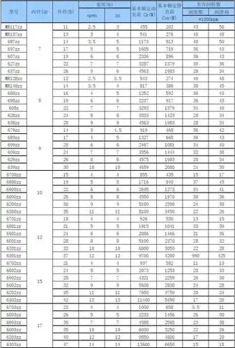
轴承型号尺寸对应表
下载周润发的图片头像图片大全_头像图片_扣扣乐园
赵丽颖温柔白裙
《 a href="#" data-lemmaid="3106903">scp基金会 /a>》中的scp收容
艺术字体电商促销图片免费下载-千图
肖战,王一博平涂q版bjyx肖战博君一肖王一博绘画作品
电话
无辜郑爽美女气质gif动图_动态图_表情包下载_soogif
高甜韩剧来袭《气象厅的人们》,朴敏英宋江大谈姐弟恋