矮牵牛,喜气旺家,比月季好养100倍
矮牵牛幼苗
幼儿园植物小盆栽牵牛花矮牵牛花喇叭花百万小玲爬藤垂吊地载庭院
垂吊矮牵牛
矮牵牛什么时候播种好
矮牵牛小苗,混色
矮牵牛种植记录
公园绿化苗矮牵牛美森供应矮牵牛小苗矮牵牛价格
我种的牵牛花小苗长高了
矮牵牛花苗海市蜃楼庭院植物阳台花卉四季开花耐寒种苗200穴新苗
矮牵牛扦插实录
11年第一批矮牵牛
在新疆卧龙湾见到了白色的龙
当你老了(2015年央视春晚)
电视背景墙#这才是年轻人喜欢的现代轻奢装修
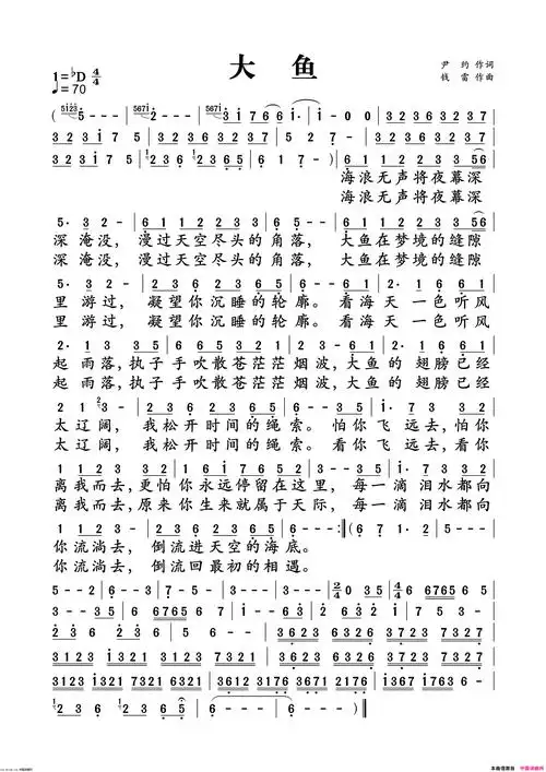
大鱼简谱-周深演唱1
兰博基尼毒药史上最好看的跑车
精灵宝可梦 竹兰同人合集
千朵万朵压枝低~959495.七言书法纸a4硬笔书法作品纸2 - 抖音
宝宝尿痛或因包皮过长,一岁以内要注重对小鸡鸡的护理
第六个"中华慈善日",郑州地标"大玉米"亮灯 绽放"公益小红花"
冷死了
面对一张抽象画,67应该如何欣赏?_画面_康定斯基_油画
手工具.