动态乐谱:笛子曲《风筝误》轻松学唱乐谱!
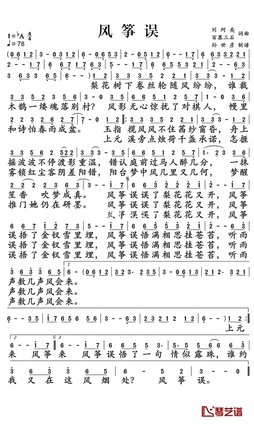
风筝误歌词简谱
风筝误动态简谱
风筝误简谱(歌词)-刘珂矣演唱-桃李醉春风记谱1
古琴曲谱分享风筝误
刘珂矣风筝误简谱含精确技巧注释陶笛箫埙适用
98《风筝误》古筝简谱 94刘珂矣演唱版~(os:很喜欢的一位歌手
风筝误笛子曲谱简谱-虫虫乐谱
风筝误(拇指琴卡林巴琴单音 ) 刘珂矣 歌谱简谱网
风筝误古筝谱d调双手版刘珂矣演唱
情头| 小众不常见的ins风情侣头像_表示歉意_图片_网络
原神梗图之温迪篇
抽烟头像女生霸气 不羁霸气烟雾弥漫中肆意扩张
原神壁纸安柏
修正麝香心脑通 消栓口服液
粉体输送设备
小太阳大一班认读拼音《n》 - 美篇
西安北站乘地铁去市区指南
简约表情头像|☺️wechat卡通表情头像
白色系壁纸
棉麻九分灯笼裤女夏季新款高腰宽松显瘦开叉盘扣亚麻休闲哈伦裤子
手写壁纸 荣辱自安.淡泊宁静 荣辱自安 #手写 #毛笔字 # - 抖音