寺庙开光玉帝王母佛像神像玉皇大帝王母娘娘树脂1米3玉皇大帝神像
手绘工笔道教神仙人物国画玉皇大帝画像水陆法会国画
玉帝图片
道士道场用品道家法器道教神像画像 挂画壁画 油画布玉皇大帝
道教神仙玉皇上帝
0020明玉皇大帝神像立轴设色绢本
玉皇大帝
厂家铸造铜玉皇大帝神像玉皇大帝坐像雕塑摆件纯铜玉皇大帝制造
玉皇大帝神像西王母瑶池金母天公上帝公家家居供奉摆件
寺庙玉帝王母佛像 玉皇大帝王母娘娘神像 树脂2米高玉皇大帝神像
玉皇大帝图片
超级好看的微信闺蜜头像
i miss you吉他谱_i miss you简谱-杨坤
疑似喻言过往不当言论引争兼克罗地亚职议 经纪公司发
logo # logo标志设计
听说微胖才是极品 #微胖女性的独特魅力 #微胖女人是极品
张柏芝拉肚子啃树叶止泻组织村妇跳扇子舞图
君乐宝乐钙钙铁锌奶粉高钙奶粉成人学生孕妇儿童成长牛奶粉6罐装
男人必须要坚强
gta5高清头像
2017级2班母亲节手抄报展示
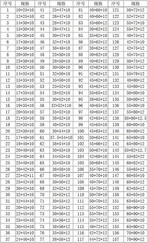
骨架油封规格表
复古旗袍军阀婚纱照