液压油缸 #支持定做各种尺寸 #液压系统 #配件大全 - 抖音
液压油缸的主要参数
批发供应youzheng圆型液压油缸rob30x100高压力-深圳市益国自动化科技
单耳环液压油缸安装尺寸
标准油缸hob100*350*400/450/500/600/700系列重型油缸 液压油缸
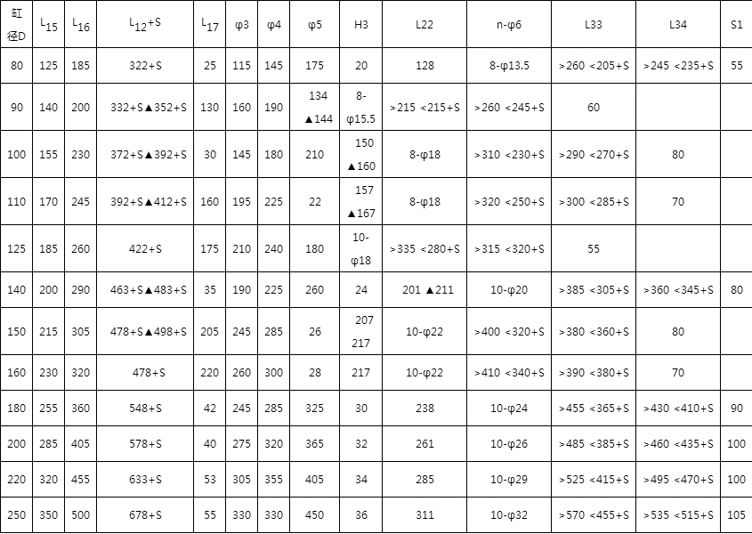
油缸常用规格表
油缸常用规格表_机械/仪表_工
油缸型号选择
液压油缸尺寸表.doc
液压油缸尺寸表
油缸
海娜纹身手绘图案分享|蝴蝶03 这种适合大面积画的蝴蝶 画在肩膀上
5月报纸版面设计欣赏上
斗罗大陆戴沐白当众抱着竹清戴沐白说他现在纯洁的跟唐三一样
对于无论是长发还是短发羊毛卷,刘海的结构设计很重要
1999年贵州缆车失事,韩红不顾反对收养的孤儿,如今已成她的骄傲
哈克龙简笔画
高清唯美海浪风景头像波涛汹涌的海面真实图片
小燕子(葫芦丝谱)_简谱_搜谱网
抖音离开我心会很痛动态表情包下载图片2
不用烫发的短发6cm碎盖头好帅
杨紫 陈冠希 李沁 肖战 易烊千玺 杨幂 刘诗诗 吴亦凡 王艳_古装_乔欣
心中的小学绘画 #我心中的校园 #参观小学幼小衔接活动 #小学儿童