相关图片
《忽然之间》简单钢琴简谱教学简化
忽然之间(莫文蔚) 流行经典 原版 钢琴双手简谱 钢琴谱 钢琴简谱
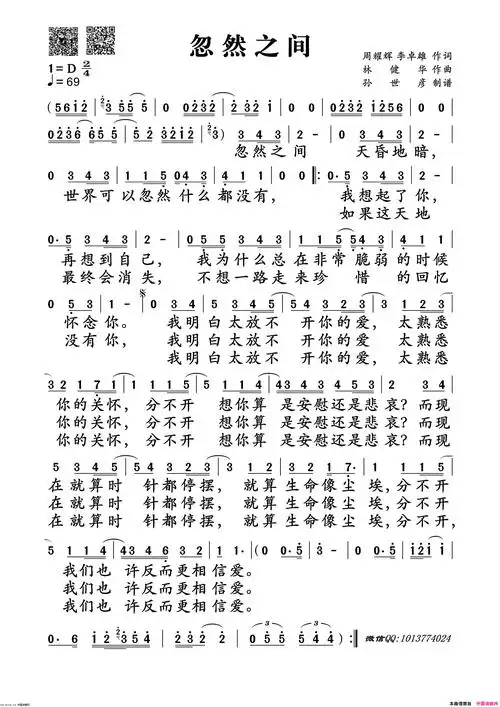
忽然之间简谱-莫文蔚演唱-周耀辉,李焯雄/林健华词曲1
忽然之间钢琴简谱-数字双手-莫文蔚1
忽然之间 (简和谱)_写轮指钢琴即兴个人制谱园地_中国曲谱网
突然之间-邓紫棋双手简谱预览1-钢琴谱文件(五线谱,双手简谱,数字谱
突然之间-邓紫棋双手简谱预览2-钢琴谱文件(五线谱,双手简谱,数字谱
忽然之间简谱 -苍强曲谱
忽然之间歌谱
忽然之间简谱 莫文蔚演唱 第十期《热血街舞团》背景音乐-钢琴谱网
[简谱]忽然之间(简和谱)[吉他谱]《忽然之间》吉他谱c调入门版 高音教
忽然之间简谱-炎亚纶1