相关图片
属什么的年虚岁29岁是年生人属马 年虚岁29岁是年生人属羊 请问年龄42
1970年到现在多大了,1970年出生属狗的今年多大
从数据可以得出,建国之后除了1955和1979年有特定历史原因外,剩下的三
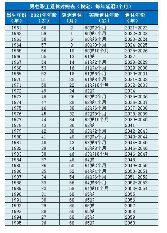
最新70后退休年龄一览表70后职工不用延迟退休
属狗的今年多大属猴的今年有一难
年满周岁怎么算
属牛的今年分别都是多大岁数,属牛今年多大岁
1980男1974女婚配女1980年10月与男1974年2月出生的
娱乐 正文 《那些年我们一起追的女孩》是六年前上映的 第一批80后
70后多大年龄了的表格,最新70后退休年龄一览表 - 讯客网
出生年与年龄换算表
属牛的今年多大年龄了1975年,属牛的今年多大了?