卡农简单好听版-eop教学曲双手简谱预览1
卡农简谱初学版_卡农简谱初学版电子琴_卡农初学版钢琴简谱
「蓝调口琴」卡农——晓月版——动态简谱
卡农canonc大调初学者版双手简谱预览1
在课程里学的卡农简易版简谱发出来自己
卡农g调简单版钢琴简谱-数字双手-johann pachelbel1
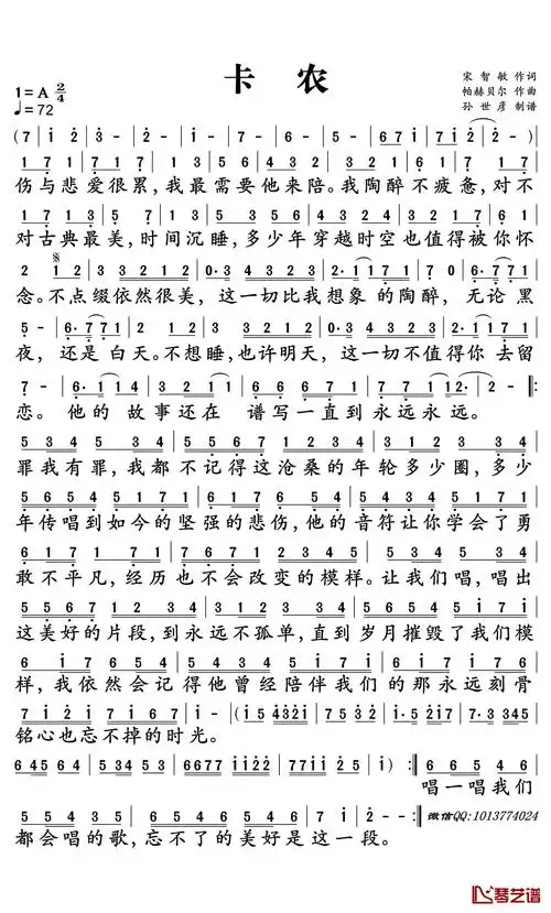
卡农(帕赫贝尔曲 宋智敏词)_简谱
卡农简谱宋智敏演唱孙世彦制谱
卡农简谱 | 神仙姐姐制谱园地
卡农双手简谱c调
钢琴卡农双手简谱pdf8页
卡农-简易版 初学简易版 钢琴双手简谱.pdf
女团tara即将回归成员自掏腰包制作新歌获粉丝支持
6206上衣女款衣服体恤衫情侣可外穿洋气夏装正肩女士短袖t恤女 - 17网
牛仔衣修身型
小学四年级想品德《每天都有好心情》.pptx
3万次观看·2天前胜者为王:三联帮太子继位,陈浩南带兄弟来砸场子
离tothe谱昨天卡地亚活动张智霖50岁了这个状态00我天呢
lol琴女原画
《精灵萌宝贝》精灵介绍之阿柏怪
[易烊千玺][分享]180125 饭绘q版红衣易烊千玺 突如其来的wink萌翻你
北欧风格其它装修设计效果图
水彩静物陶罐水果
萌宠猫微信头像图片