风雨中谁为我撑起一把伞_歌谱网-基督教歌谱网基督教简谱网歌谱网
主陪我这一生官方简谱_圣歌简谱_zzmao简谱网
我主 奇妙的耶稣 歌谱 简谱
下载有你同行我勇敢走下去歌谱
歌曲走天涯简谱_走天涯简谱歌谱
主赐给我的所有恩典 歌谱 简谱
陪我走 歌谱 恩泉佳音续集 一 赞美诗网原创音乐曲谱 你向我走来 词何
下载我只要主耶稣歌谱
"就可以下载该歌谱了!
主 我跟你走 歌谱 简谱
主啊!求你不要丢弃我歌谱乐谱
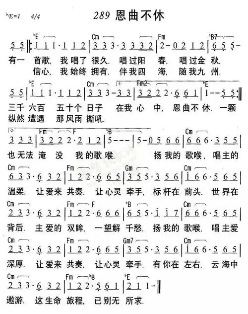
赞美诗《恩曲不休》赞美诗-歌谱-敬拜网 - 敬拜成长心得—敬拜信息
许志安与韩红当街热吻被拍,持续了10多秒,许志安还不忘用袖子擦嘴
复古书香海报背景
古力娜扎黑丝高跟鞋[color][color]#gulinaza
67关晓彤和鹿晗结婚了吗 接吻 结婚照(鹿晗和关晓彤的婚纱照(所有))
3d立体现代简约8d玄关玉兰花壁纸竖版走廊过道壁画墙纸5d装饰墙布
知晓这件事让李保田心中倍感悲凄,泪流不止.
吴尊个人资料简介_吴尊经纪人
张九龄
董洁和董璇同框,两人相差8厘米,一个穿得清纯,一个穿得干练_衬衫_风格
欧美红色系情侣头像_微信头像图片大全
磅礴乐章 雅韵迎新丨周晓琳携手中国歌剧舞剧院2021新年音乐会_张英席
香奈儿粉邂逅淡香水