214以色列兴起_简谱_搜谱网
474兴起为主(简谱)_1050首选本诗歌_基督教歌谱大全
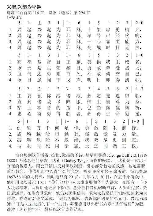
兴起为耶稣_简谱_搜谱网
第420首兴起为耶稣
第121首 兴起为耶稣_歌谱网歌谱 christ简谱网 歌谱网 诗歌下载五线谱
兴起为耶稣简谱
676兴起为耶稣(简谱)_天韵之声_基督教歌谱大全
676兴起为耶稣_简谱_搜谱网
第371首 -兴起,兴起为耶稣_简谱_搜谱网
第195首 -兴起为耶稣_简谱_搜谱网
我的眼睛已经看见兴起兴起为耶稣 歌谱 简谱
方大同最好听的歌是什么(方大同的这三首歌你能否听懂爱情与人生!
男士标准身高体重对照表| 身高(cm)|15-19岁|20-24岁|25-29岁|30-34岁
陈建斌_演员_作品_个人资料_简历_生日_经历_留言 - 酷乐米
婚内出轨的马蓉,为何坚持自己没错?看看王宝强做的事,就知道了
超短寸头洗完水珠会浮在表面
单词归纳 关于吃面条的英文表述
东北鹅肉新鲜笨大鹅整只农村活老鹅铁锅炖散养白鹅10斤现杀黑龙江
公司:这样谁都无法卷钱跑路
洛白:唯美女头大头照唯美超美御姐女生头像
熊猫头请收下沙雕熊猫头表情包
闲来广东麻将100张
这是盒饭 实拍图片