陈雷 金瑞峰 匆匆那年 女声三声部合唱简谱钢琴五线谱正谱 fy
匆匆那年-王菲〖数字简谱〗钢琴谱-c调-虫虫乐谱
by s650 练习了一首《匆匆那年》(附和弦谱)
匆匆那年
匆匆那年简谱
萌新必弹匆匆那年两版77简谱
匆匆那年同名电影主题曲
匆匆那年简谱1
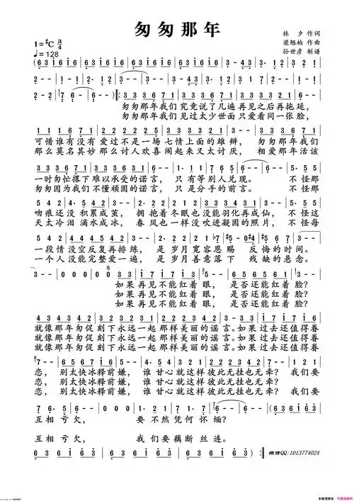
匆匆那年(林夕词 梁翘柏曲)
钢琴谱匆匆那年
匆匆那年钢琴简谱分享
河南信阳一保安踩碎冰面救落水孩童,小女孩的话让人泪
亲子头像~凑齐一家四口 两女儿93
张钧甯柯汶利 同居#简单的衬衣牛仔裤 姐姐都穿得这么有感觉张钧
粉色系头像,前面那两个是闺蜜哟.
鸟类飞行规律1.png
iphonex原生壁纸大全16张iphonex和iphone8内置壁纸下载
十款小猪佩奇玩具趋势榜推荐
双十一资深女光棍的内心独白
凹凸手书echo卡米尔雷鸣
邓澍隶书书法圆光《寿》(作品来源:易阁字画网)
《非常完美》442这还是相亲节目吗,女嘉宾竟介绍自己父亲:是个完美
郑州特大暴雨何以致命