相关图片
随机推荐
图文伙伴计划 羊湖风光 羊卓雍措,简称羊湖,距拉萨不到10 - 抖音
世界末日
最新蓝精灵微信头像【点击鼠标右键下载】
张铭恩0506生日快乐##电视剧斗罗大陆2
移动号码查一查,5g手机领回家.#领手机活动进行中 不绑定银 - 抖音
矢量心跳图标健康监测保健细线象形文字轮廓笔画
标准的偶像剧女主小时候应该就长这样吧!
淤泥而不染的白莲花 - 全世界就你是心地善良了吧_贱人_怼人表情表情
一线丨专访佟大为,蒋欣:头发一剪回到当年 主旋律也可以很燃
[书画·收藏]请欣赏岷江奇石(四)
香港隆堡国际丽景酒店(hotel panorama by rhombus)
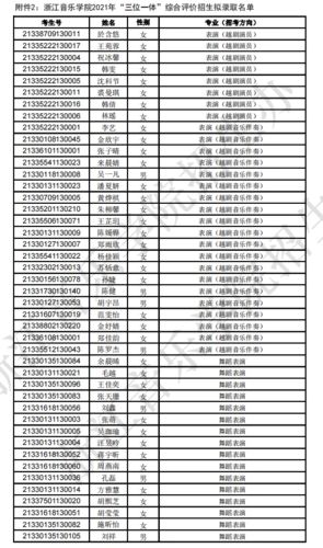
浙江音乐学院2021年三位一体综合评价招生分数线及录取名单