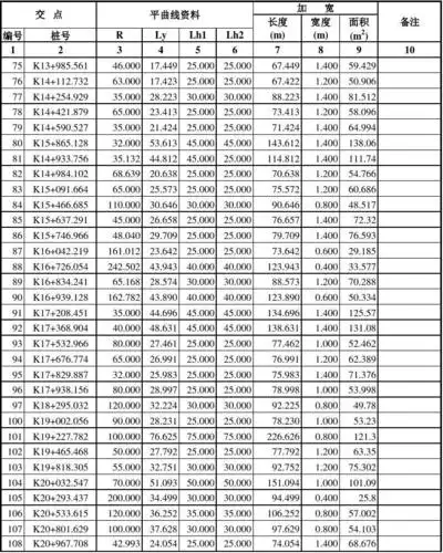
曲线要素表
本资料为 公路坐标计算程序表格excel 主要包括:圆曲线要素,平曲线
道路平曲线详细解读一次性搞懂
在平曲线里面这段图包含了哪些要素?
一览表(平曲线加宽)
宿迁至新沂高速公路sx-sq2标曲线要素表
平曲线表
平曲线超高ppt
道路平曲线要素表
梁静茹勇气
绿色小清新保护视力桌面壁纸
cover
百里守约
ue5 虚幻 卡通萌版q版小海豚卡通角色颜文字表情可爱动物有动画
情话短信(思念对方的情话短信)
中国队逆转夺冠35岁老将掀翻奥运冠军惠若琪好闺蜜再度登顶
"这是陈琦沅kenn多年坚持的信念,30年的舞台经验
赵丽颖的璀璨星途
"90后中国说唱歌手喊话美国!赵立坚转发
蒲县名烟名酒行
宝墩遗址与宝墩文化展开展寻天府之根看成都平原第一灶