书法创作对联欧阳询楷书集书房楹联18副
书法欣赏欧体集字古诗七言绝句
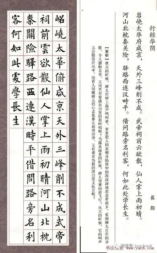
最全欧楷集字古诗(③七言律诗) - 好网角收藏夹
欧体集字古诗七言绝句
欧体楷书字帖七言绝句9首(高清大图)
欧体集字七言绝句
欧楷字帖《欧阳询书法集字七言律诗七首》(61)
欧体楷书字帖欣赏:《欧阳询书法集字七言律诗七首》九宫格版,高清晰
欧体集字七言律诗七首|欧阳询|虞世南|楷书|书法|薛稷_网易订阅
七言律诗欧体楷书作品欣赏
非人哉终于动画化了你等了多久呢
可爱水饺简笔画,你猜这是什么馅的饺子简笔画
2024东方神起香港演唱会时间,地点,门票价格,演出详情-黄河票务网
枉凝眉简谱图片
两位数乘两位数的乘法竖式计算
生机盎然的大树成冷冰冰的木头 萍乡刑警逮住一伙盗伐红豆杉的光头强
贡嘎山海拔7556米,是四川省最高峰.由于几大板块的挤压, 四…显示全部
跪下道歉的表情包合集
杨紫和邓伦将角不法感细腻展现出来,观众深入感受他们内心世界,尽管
唯美的大自然_手机壁纸_风景静物手机壁纸_我要个性网
心碎了,流泪了
千百惠中国台湾女歌手