九二美图社
首页
最新
热门
排行
首页
最新
热门
排行
自然风光
动漫卡通
美食摄影
科技数码
人物写真
创意设计
壁纸背景
游戏原画
"赵聪琵琶 演奏会" 的相关图片
共 50 张相关图片
琵琶女神赵聪将至闵行现场聆听文末有福利
刘德海艺术周琵琶演奏家赵聪演奏陈隋
中国中央民族乐团团长,首席琵琶演奏家赵聪
p>赵聪,琵琶演奏家, a target=_blank href=/item/中央民族乐团
中央民族乐团首席琵琶演奏家赵聪与王者荣耀合作全新主题音乐
赵聪- 琵琶吟 伴奏 高品质琵琶演出伴奏 赠送简谱
琵琶入门与提高自学教程赵聪编著初学者琵琶教材练习曲谱书籍简谱自学
琵琶女神赵聪将至闵行现场聆听文末有福利
琵琶演奏家赵聪追求创新是对自我的升华
中国中央民族乐团团长,首席琵琶演奏家赵聪
p>赵聪,琵琶演奏家, a target=_blank href=/item/中央民族乐团
刘德海艺术周琵琶演奏家赵聪演奏陈隋
中央民族乐团首席琵琶演奏家赵聪与王者荣耀合作全新主题音乐
11月2日,中国交响乐团首席指挥李心草与著名琵琶演奏家赵聪,携中国
赵聪赵聪,中央民族乐团副团长,著名琵琶演奏家,国家一级演员,在国际
赵聪 罗密欧与朱丽叶 伴奏 琵琶演出伴奏 另售琵琶与钢琴合奏谱yf
著名歌唱家张也演唱《谁不说俺家乡好》琵琶演奏赵聪
琵琶女神赵聪将至闵行现场聆听文末有福利
琵琶女神赵聪将至闵行现场聆听文末有福利
千与千寻简谱琵琶双声部谱
琵琶 #游京 |简谱来了
琵琶 #游京 |简谱来了
《萤火之森》--故梦[琵琶]
琵琶行简谱(歌词)-星月组合演唱-独行侠曲谱1
《琵琶行》琵琶谱 难度:3级左右 指法自己编的,难度可调
琵琶行智能简谱歌谱-苍强曲谱
琵琶行智能简谱歌谱-苍强曲谱
琵琶行简谱
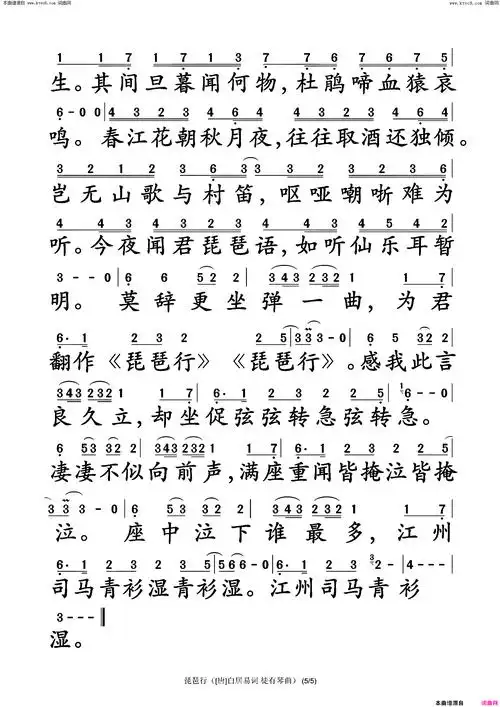
琵琶行 ([唐]白居易词 王昌曲曲) 歌谱简谱网
琵琶行智能简谱歌谱-苍强曲谱
琵琶行简谱
琵琶行([唐]白居易词 徒有琴曲)简谱
琵琶行简谱
琵琶行(黄少梅 郑培英) 乐谱 曲谱 简谱
琵琶行简谱
《琵琶行》简谱
琵琶行简谱
琵琶行简谱-奇然/沈谧仁演唱-孙世彦制谱2
琵琶行-高考背书系列高三考生必听曲目双手简谱预览1
琵琶行简谱
《琵琶行》简谱
《琵琶行》简谱
琵琶行简谱-奇然/沈谧仁演唱-孙世彦制谱1
《青花瓷》d调 琵琶谱曲,新手宝宝们可以弹 1,括号里面的不用弹,从有
琵琶曲谱——平沙落雁
href="/item/琵琶/241259" data-lemmaid="241259">琵琶 /a>独奏曲,原
琵琶曲谱江南三月
琵琶曲谱《高山流水》
琵琶曲谱《天山之春》
天鹅琵琶谱子,琵琶考级十级曲目《天鹅》简谱_民族乐器网
相关图组
酷女孩图片动漫黑暗系
木村拓哉老婆
咒术回战全员合照
七分裤女款新款套装
晴天架子鼓谱
好莱坞硬汉
翻白眼表情包可爱图片
音乐偶像动漫大全
刘翔和姚明合影
实拍重庆城市图片
范丞丞古装造型
女士不对称短发图片
向涵之照片
新加坡50大富豪榜
2020砥砺前行励志图片
101d胆前级电路图
matlab画分段函数图像
德国队2021欧洲杯球衣